Sekolah kawalan merupakan sekolah di bawah seliaan kementerian pendidikan malaysia kpm. Permohonan Sekolah Kawalan Perak 2019 Tingkatan 1.
Permohonan Sekolah Kawalan 2022 Smka Kaa Sabk Krk
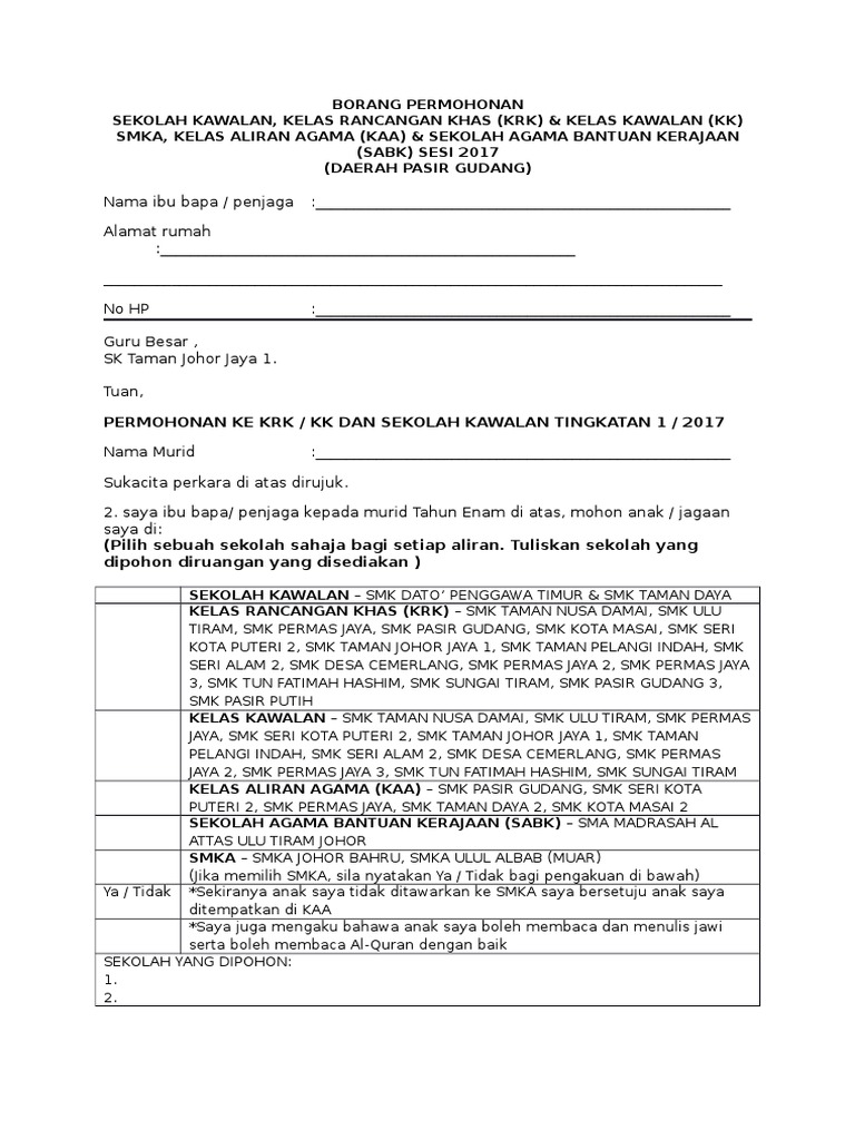
Borang ini boleh diambil dari sekolah.
. Permohonan Tingkatan 1 SMKA Putrajaya Dan Kelas Aliran Agama KAA Ambilan Tahun 2022. Tarikh borang permohonan diedarkan adalah bergantung kepada pengurusan sekolah anak masing-masing. You have just read the article entitled Borang Sekolah Kawalan.
September 8 2021. Permohonan sekolah kawalan 2019 smka sabk kaa krk. Menerusi Portal Rasmi Jabatan Pendidikan Perak permohonan Sekolah Kawalan Perak 2022 Tingkatan 1 dijangka akan dibuka secara online pada bulan September 2021.
Permohonan Sekolah Kawalan Kemasukan Tingkatan 1 2019 Negeri Pulau Pinang Sekolah Kebangsaan Taman Senangan. Juga dikongsikan maklumat berkaitan permohonan. Berikut dikongsikan adalah maklumat tentang permohonan kemasukan ke Tingkatan Satu Sekolah Kawalan Negeri Perak sesi 2019 termasuk memaparkan tarikh dan aplikasi permohonan.
Sekolah Rancangan Khas Negeri RKN. Semakan tawaran dan rayuan kemasukan ke tingkatan 1 sekolah kawalan ambilan. Salam pembaca pertama kali saya tahu tentang sekolah kawalan ialah.
Secara manual pendaftaran di sekolah. Murid akan diedarkan borang permohonan oleh pihak sekolah dan boleh dapatkan borang daripada guru kelas masing-masing. Panduan buat pelajar tingkatan 3 yang sepatutnya menduduki peperiksaan pt3 2021.
Permohonan ke Tahun 1 ada 2 mod iaitu. Berikut dikongsikan maklumat berkaitan tarikh dan aplikasi permohonan Sekolah Kawalan Perak Tingkatan 1. Borang sekolah kawalan.
Borang Kemasukan Data Sekolah Borang Kawalan. Bilakah tarikh permohonan sekolah kawalan smka sabk kaa krk. Permohonan boleh dibuat dengan mengisi borang permohonan penempatan sekolah ke tingkatan 1 Tahun 2019 Sekolah Kawalan Negeri Pulau Pinang.
Sistem aplikasi ini memudahkan permohonan sekolah kawalan tanpa ibu bapa pelajar perlu mengisi borang manual. 明新学校 SEKOLAH JENIS KEBANGSAAN CINA MIN SIN 86 JALAN TUN DR. Permohonan kemasukan maktab rendah sains mara mrsm tingkatan 4 Permohonan Kemasukan ke MRSM Permohonan kemasukan ke Sekolah Kawalan Menengah Kementerian Pendidikan Malaysia KPM bagi tahun pengambilan 2021 dijangka akan dibuka untuk tujuan permohonan pada minggu pertama bulan.
Permohonan Kemasukan Ke Sekolah Kawalan Kpm 2021 Online. Untuk makluman anda pengambilan murid baharu sekolah kawalan tingkatan 1 sesi 2020 adalah melalui permohonan secara borang manual yang diedarkan di sekolah atau melalui jpn. SJK C MIN SIN.
Pemohon yang terlibat adalah terdiri daripada pelajar tahun 6 UPSR 2020 dan sekiranya berminat dengan Sistem Pendidikan Sekolah Kawalan Kementerian Pendidikan Malaysia. Cemerlang di dalam Ujian Program j-QAF dan UPKK UPSRA. Semakan tawaran keputusan dan penempatan sekolah kawalan 2022 krk kaa smka sabk.
Pencapaian minimum UPSR 3A3B. Umur Persekolahan Tahun 12021 adalah bagi kanak-kanak warganegara yang lahir pada 2 Januari 2014 hingga 1 Januari 2015. Ibu bapa atau waris pelajar yang berminat sila berhubung dengan pihak sekolah rendah PK HEM guru kelas penyelaras tahun 6 tempat pelajar bersekolah sekarang ini untuk mendapatkan borang permohonan.
PANDUAN MENGISI BORANG A MAKLUMAT. Berdasarkan pengetahuan penulis Borang permohonan kemasukan ke Sekolah Kawalan Kementerian Pendidikan Malaysia KPM bagi tingkatan 1 ambilan tahun 2020 akan diedarkan oleh pihak sekolah bermula pada pertengahan bulan September awal Oktober atau selepas keputusan UPSR 2019. Permohonan Ke sekolah kawalan SMKA KRK dan KAA bagi sesi persekolah 2018 telah dibuka pada 17 September 2017.
Borang Pelaksanaan Perkhidmatan dan Pengurusan Pekerja Bagi Perkhidmatan KBK KPM doc 81 KB 791 muat turun. Permohonan secara online bagi sesi ambilan Januari 2021 pada minggu pertama bulan September ini. Pelajar tingkatan 3 yang sepatutnya menduduki peperiksaan pt3 2021 kini boleh membuat permohonan kemasukan sbp tingkatan 4 2022 secara online bermula dari.
Secara atas talian online melalui portal. Borang Permohonan Penempatan Sekolah Ke Tingkatan Satu Tahun 2018 Sekolah Kawalan Negeri Pulau Pinang Dan Senarai Sekolah Kawalan Negeri Pulau Pinang. 20 September hingga 31 Oktober 2017.
Bagi murid tahun 6 yang mahu membuat. Syarat Permohonan Sekolah Kawalan Putrajaya Tingkatan Satu 2019. Pada pengambilan murid baharu sekolah kawalan tingkatan 1 tahun 2020 adalah melalui permohonan secara borang.
I Bermula ambilan 2018 tiada lagi permohonan kemasukan ke Sekolah Kawalan KPM secara online melalui Sistem Pendaftaran Atas Talian SPATKPM di pautan URLi httpspublicmoegovmy II Ibu bapa atau penjaga murid boleh membuat permohonan melalui borang permohonan manual KRK001 edaran sekolah masing-masing atau Jabatan Pendidikan Negerii. Kemilau Mentari Tawaran Ke Sekolah Kawalan Negeri Johor. AWANG RELAU 11900 BAYAN LEPAS PULAU PINANG.
Ibubapapenjaga perlu pergi ke sekolah pilihan dan kakitangan di sana akan membantu mendaftarkan permohonan itu. Semakan keputusan kemasukan ke sekolah kawalan. Borang permohonan sekolah kawalan kementerian pendidikan malaysia.
Permohonan kemasukan ke maahad kawalan bagi tahun 2021 dibuka bermula 25 oktober 2020 sehingga 19 november 2020. Antara syarat-syarat kemasukan ke Sekolah Kawalan Tingkatan 1 2019 SMKA Putrajaya. Sekolah Kawalan Menengah adalah terdiri daripada Sekolah Menengah Kebangsaan Agama SMKA Sekolah Agama Bantuan Kerajaan SABK Kelas Aliran Agama KAA dan Kelas Rancangan Khas KRK.
Sedia maklum Sekolah Kawalan Menengah adalah terdiri daripada Sekolah Menengah Kebangsaan Agama SMKA Sekolah Agama Bantuan Kerajaan SABK Kelas Aliran Agama KAA dan Kelas Rancangan Khas KRK. Boleh membaca al-Quran dan tulisan jawi dengan baik. Berita baik buat pelajar upsr 2019 yang berminat untuk memasuki smka dan kaa di wp putrajaya.
Semakan senarai permohonan sekolah kawalan tingkatan 1 2021 untuk penempatan Kemasukan Tingkatan 1 melalui sistem online publicmoegovmy termasuk kemasukan sekolah agama smka. Borang Kebenaran Skim Potongan Gaji Kakitangan Awam Tabung KWAPM pdf 149 KB 1134 muat turun Popular. Berikut dikongsikan maklumat Permohonan Tingkatan 1 Sekolah Kawalan Putrajaya tahun 2022 melibatkan permohonan TMUA yang meliputi syarat permohonan kemasukan applikasi dan borang permohonan dan tarikh penting yang akan dikemaskini dari semasa ke semasa.
Untuk makluman anda permohonan Sekolah Kawalan 2022 Tingkatan 1 dijangka akan dibuka secara online pada bulan September 2021. Sekolah Kawalan Menengah adalah terdiri daripada Sekolah Menengah Kebangsaan Agama SMKA Sekolah Agama Bantuan Kerajaan SABK Kelas Aliran Agama KAA dan Kelas Rancangan Khas KRK. INFO PERMOHONAN KEMASUKAN SEKOLAH KAWALAN 2020 TINGKATAN 1.
982020 Permohonan kemasukan ke Sekolah Kawalan Kementerian Pendidikan Malaysia KPM bagi pengambilan sesi 2021 akan dibuka kepada semua pelajar tahun 6 yang berkelayakan dan telah menduduki peperiksaan UPSR 2020 serta berminat untuk menyambung pelajaran mereka ke Tingkatan 1 di Sekolah Kawalan Kementerian Pendidikan. Permohonan sekolah kawalan negeri Pulau Pinang akan dibuka secara online bagi sesi ambilan Januari 2019 pada minggu pertama bulan September ini.
Permohonan Sekolah Kawalan 2022 Smka Kaa Sabk Krk Tingkatan 1
Borang Kemasukan Data Sekolah Borang Kawalan Pdf
Semakan Keputusan Sekolah Kawalan 2022 Secara Online
Permohonan Tingkatan 1 Pendaftaran Semakan Penempatan 2021
Borang Permohonan Sekolah Kawalan Pdf
Permohonan Sekolah Kawalan 2022 Smka Sabk Kaa Krk Semakan Upu
Borang Permohonan Sekolah Kawalan Pdf
Semakan Keputusan Sekolah Kawalan 2022 Krk Kaa Smka Sabk
Semakan Keputusan Sekolah Kawalan 2022 Online
Contoh Surat Rayuan Sekolah Kawalan Kecemasan F
Semakan Keputusan Sekolah Kawalan 2022 Krk Kaa Sabk Smka
Pdf Permohonan Sekolah Kawalan Ku Rushidi Ku Ahmad Academia Edu
Borang Kemasukan Data Sekolah Borang Kawalan Pdf
Permohonan Tingkatan 1 Pendaftaran Semakan Penempatan 2021
Permohonan Tingkatan 1 Sekolah Kawalan Putrajaya 2022 Smka Kaa



